Dnes pokračujeme v sérii článků, které se věnují finančním počtům. Tentokrát si vezmeme na mušku Střadatele – nikoliv spořitele, který neexistuje – často se to plete. Pokud pravidelně ukládáme stejnou částku, ve stejný okamžik a po určité předem známé období, tak Střadatel vyjadřuje konečný stav na účtu na konci období.
Střadatele typicky využijeme v situaci kdy si chceme vypočítat stav našeho spořícího účtu za předpokladu, že budeme ukládat po určité období stejnou částku.
Střadatel – obecný vzorec
kde:
- i = úroková míra
- n = počet období
Výsledkem vzorce je tedy koeficient, proč? Při výpočtech může nastat několik variant. Základní rozdělení při úrokových počtech používajících střadatele je:
- Dlouhodobé spoření – spoření nad 1 rok
- Krátkodobé spoření – do 1 roku
- Předlhůtní – spoříme na začátku období
- Polhůtní – spoříme na konci období
Obecný vzorec pro střadatele vyjadřuje, kolikatinásobek pravidelně ukládané částky budeme na konci období mít v případě dlouhodobého polhůtního spoření. Spoření je typicky dlouhodobý produkt a proto se v příkladech zaměříme pouze na dlouhodobou variantu předlhůtní a polhůtní. V obou těchto variantách použijeme základní vzorec pro výpočet střadatele. Výsledek bude přehledně ukázán v excelu. Nejprve ale vzorce:
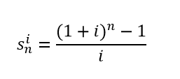
Střadatel – dlouhodobé spoření polhůtní – vzorec
kde:
K – Konečný stav na konci období
S – pravidelná úložka
i – úroková sazba
n – počet období
sin – je střadatel polhůtní
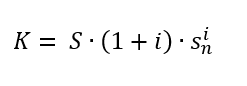
Střadatel – dlouhodobé spoření předlhůtní – vzorec
K – Konečný stav na konci období
S – pravidelná úložka
i – úroková sazba
n – počet období
sin – je střadatel polhůtní
Zadání příkladu – Střadatel předlhůtní a polhůtní
Jaký bude zůstatek na našem spořícím účtu po 5-ti letech, když budeme každý rok vkládat 5 000 Kč při úrokové sazbě 1 %? Vypočítejte příklad v Excelu pro varianty:
- částku vkládáme na začátku období (předlhůtní)
- částku vkládáme na konci období (polhůtní)
Řešení příkladu v excelu:
!!! Kdo je líný (v dobrém slova smyslu), tak může v Excelu jednoduše použít funkci =BUDHODNOTA / FV a dostane se na stejná čísla (viz. článek o budoucí hodnotě).
A je vymalováno 🙂




Hezký článek.
A jak by se dal využít Stradatel pokud by se pravidelně ukládalo né každý rok, ale každý měsíc po dobu n let.
To by vypadalo stejně, akorát by se to období vynásobilo měsíční frekvencí (v tomto případě 5×12).